Quantum Illumination With Photonsubtracted Continuousvariable Entanglement
Introduction
One of the most important tasks in quantum information science is to understand how physical procedures related to information processing can be improved by exploiting quantum resources such as entanglement1. Apart from the well-established applications such as quantum computation2, simulation3,4, teleportation5, metrology6, etc., the area of quantum illumination7,8,9,10,11,12,13,14,15,16,17,18,19,20,21,22,23,24,25,26,27,28 is emerging as a promising and novel quantum method for increasing the sensitivity or resolution of target detection in a way that can go beyond the classical limits. The primary goal of quantum illumination is to detect the presence or absence of a target, with potentially a low reflectivity and in a highly noisy background, by sending out an entangled signal and performing joint measurements. More specifically, the setup of quantum illumination consists of three parts: (i) a source emits a signal entangled with an idler system kept by a receiver, (ii) if a target exists, the receiver obtains the reflected part of the signal in addition to the background noise; otherwise, only the background noise can be received, and (iii) the receiver performs a joint positive-operator valued measure (POVM) measurement on the whole quantum system and infers from it the presence or not of the target.
An intriguing feature of quantum illumination is that it is highly robust against loss and decoherence. One can still gain quantum advantages, even if the signal is applied to entanglement-breaking channels29. As an important application, one can apply quantum illumination to secure quantum communication9,30,31,32,33, where the sender encodes a 0-or-1 message by controlling the presence or absence of an object, and the receiver determines its presence by illuminating entangled photons. In this way, an eavesdropper who does not have access to another half of the entangled signal could virtually know nothing about the message communicated9. An experimental implementation31 of the protocol above suggested that quantum illumination can provide a reduction up to five orders of magnitude in the bit-rate error against an eavesdropper's attack. Furthermore, experimental implementations of quantum illumination have been demonstrated for not only the optical11,31,34 but also the microwave domain12,28.
Despite the progress achieved so far, quantum illumination lacks a fundamental understanding on the ultimate limit of the performance advantage of quantum illumination over conventional illumination (quantum advantage) when the noise state is arbitrary. Most existing literature of quantum illumination assumes maximally entangled states as probe states. This is fine for infinite temperature, since the optimal signal is the maximally entangled state when the environmental noise is white noise. However, when the environment is of finite temperature, and thus the noise has a nontrivial spectrum, the maximally entangled probe state is no longer the best possible one. To obtain its ultimate performance, we need to optimize the probe state. In fact, quantum illumination should be treated as a problem of channel discrimination35,36,37,38. The existence and absence of the object correspond to two different channels, whose inputs should be optimized such that the outputs are most discriminable. Quantum channel discrimination is generally a difficult computational problem where only a few analytic solutions have been discovered39; it is complete for the quantum complexity class QIP (problems solvable by a quantum-interactive proof system), which has been shown40 to be equivalent to the complexity class PSPACE (problems solvable by classical computer with polynomial memory).
We solved the one-shot quantum illumination problem completely, with a compact analytic solution, for any given parameter regime and any finite-dimensional noise. We extend the protocol to finite- temperature noise and even athermal noise; the basis and spectrum of the environmental noise in our analysis are completely arbitrary. We obtained the minimum-error probability of target detection, where the minimization is over all possible POVM measurements and all finite-dimensional probe states. Furthermore, the optimal state we obtained depends only on the environmental noise. In other words, the minimum-error probability can always be achieved without even knowing the reflectivity and the occurrence probability of the target.
Our results show that there are three performance regions (see Fig. 1c, d) for both conventional and quantum illumination. When the reflectivity of the target is smaller than a critical value (Regions I and II), the received signals become useless, and the optimal strategy is directly guessing "Yes" or "No". But in Region III, the reflected signals are useful, and the quantum illumination has better performance. In this region, the optimal probe state is an entangled state whose entanglement spectrum is inversely proportional to the noise spectrum. The maximally entangled state is optimal only when the environment is of infinite temperature, which corresponds to a completely mixed state as the noise state. In other words, the ideal probe state is less entangled when the environmental noise is of lower temperature. The quantum correlation (entanglement) contained in the ideal probe state increases with the entropy of the environment noise (see Fig. 2).
a In conventional illumination, a signal is sent to probe a target without the use of entanglement. b In quantum illumination, the signal is entangled, and a joint POVM measurement is performed at the end to reduce the detection error. c The phase diagram for conventional illumination and d the same diagram for quantum illumination.
Relations between entropy of the environment ρE and entanglement of the corresponding optimal probe states for a. d = 2 and b. d = 10. The environment has a linear spectrum, and each triangle represents a ρ E with a particular value of λ d . Entanglement is quantified by the Von Neumann entanglement entropy.
On the other hand, efforts have been made to understand the resources attributing to the advantage of quantum over conventional illumination. When the environment is of infinite temperature, the discord of encoding, a measure of quantum correlation41, was suggested15,42 to be the resource inducing the advantage of quantum illumination. However, when the environmental noise is of finite temperature, or is a nonequilibrium state, this measure of correlation cannot fully characterize the quantum advantage. In fact, we show that no measure of quantum correlation can fully characterize the quantum advantage at any finite temperature (see "Methods"). We identify two competing factors that contribute to the performance of the protocol: the local distinguishability and the quantum correlation (see Supplementary Discussion 5). With our results, not only can we optimize the performance of the quantum illumination in practice, but also better understand its power and limitation.
Results
Model of one-shot quantum illumination
Following ref. 7, let us consider the illumination problem where the signal is encoded with an optical photon mode. The thermal environment is in a temperature significantly lower than the optical energies, i.e., ρ th =ρ 1 ⊗ ρ 2 ⊗ . . . . Here, \({\rho }_{k}\approx \left|{\rm{vac}}\right\rangle \left\langle {\rm{vac}}\right|+O\left(\varepsilon \right)\left|{1}_{k}\right\rangle \left\langle {1}_{k}\right|+O\left({\varepsilon }^{2}\right)\), where \(\left|{1}_{k}\right\rangle\) represents a single-photon mode with frequency k. Furthermore, we assume that the detector can distinguish a finite number of photonic modes of single photons, which means that we can approximate the environment as
$${\rho }_{\text{th}}\approx \left|{\rm{vac}}\right\rangle \left\langle {\rm{vac}}\right|+\sum _{k}O\left(\varepsilon \right)\left|{1}_{k}\right\rangle \left\langle {1}_{k}\right|+O({\varepsilon }^{2}).$$
(1)
In this work, we focus on the "single-shot" detection case, where one waits until the detector is triggered only once. So one can post select the single-mode term of Eq. (1), and the density matrix describing the environment is the diagonal matrix on the frequency basis (the model can be generalized to more complicated environment states, such as the entangled state, multiphoton state, or the one including vacuum state. One just needs to diagonalize the environment state, making it coincide with the form of Eq. (2))
$${\rho }_{E}=\mathop{\sum }\limits_{i=1}^{d}{\lambda }_{i}\left|{\theta }_{i}\right\rangle \left\langle {\theta }_{i}\right|,$$
(2)
where each basis \(\left|{\theta }_{i}\right\rangle\) corresponds to a frequency mode, and we have assumed that there are totally d modes. In fact, our analysis is applicable for arbitrary basis. The frequency basis is adopted here because it is most frequently used in practice. In Lloyd's paper7 and other existing literature, thermal noise is simply approximated by white noise, i.e., the λ i for all \(\left|{\theta }_{i}\right\rangle\) are identical. But considering that the noise can, in general, have a nontrivial spectrum, we generalize the model to a scenario where different modes can have different weights. For convenience, we assume that the noise spectrum λ 1 ≥λ 2. . . ≥λ d is decreasingly ordered. While the quantum advantage has been shown7 by the input state of Bell state, it is unclear what is the ultimate limit on the power of quantum illumination with general noise. As discussed later, the noise spectrum in Eq. (2) can be used to design optimal probing states, which improve the detection performance over the standard Bell-state-based scheme.
Our major contribution is the optimization of the input signal state and derivation of the ultimate performance of one-shot quantum illumination. This is done by modeling the detection as a problem of quantum channel discrimination35,36,37,38.
For conventional illumination, a single-photon-probe state ρ A is sent for detecting a distant object. As shown in Fig. 1a: (i) if the target is absent, the probe signal ρ A is completely lost; we can only receive the noisy state from the environment. This process can be modeled by the following quantum channel:
$${{\mathcal{E}}}_{0}({\rho }_{A})={\rho }_{E}.$$
(3)
(ii) If the target is present, with probability, or reflectivity, η, the probe photon is reflected. With probability 1 −η, the probe photon is absorbed, and only background noise can reach the detector. This process can be modeled by the following quantum channel:
$${{\mathcal{E}}}_{1}({\rho }_{A})=\eta {\rho }_{A}+(1-\eta ){\rho }_{E}.$$
(4)
Then the detector measures the returned photon, telling us which state it is in, and therefore the presence or absence of the object. To find the ultimate one-shot performance, one has to optimize the signal as well as the measurements43.
For quantum illumination, besides the probe signal A, the agent also keeps an ancillary system B, which can be entangled with the former. When the probe signal is sent, depending on the absence or presence of the target, it will undergo the evolution described by either \({{\mathcal{E}}}_{0}\) or \({{\mathcal{E}}}_{1}\), whereas the ancillary system B is kept unchanged. Therefore, the composite system of the signal and ancilla is updated by the following quantum channel when the target is absent:
$$({{\mathcal{E}}}_{0}\otimes {\mathcal{I}})({\rho }_{AB})={\rho }_{E}\otimes {\rho }_{B}\,,$$
(5)
where ρ B is the reduced density state of the joint state ρ A B , and when it is present,
$$({{\mathcal{E}}}_{1}\otimes {\mathcal{I}})({\rho }_{AB})=\eta \ {\rho }_{AB}+(1-\eta ){\rho }_{E}\otimes {\rho }_{B}.$$
(6)
Similar to conventional illumination, one has to optimize all possible signal–ancilla states and the joint measurements to find their ultimate performance.
Solving the channel discrimination problem
The problem of target detection in quantum illumination can be regarded as a problem of quantum channel discrimination35,36,37,38, where one has to optimize both the input state of the channel and the optimal POVM measurements to answer which channel defined above is given.
To begin with, we review the results of quantum-state discrimination as a hypothesis testing. A binary random variable X = 0, 1 is encoded in a pair of quantum states ρ 0 and ρ 1, with prior probabilities p 0 for X = 0 and p 1 = 1 −p 0 for X = 1. The task of state discrimination is to test which quantum state is given, by performing the optimal POVM measurement {Π0, Π1} and giving the answer X est. An error occurs whenever one answers 0 for state ρ 1 and 1 for state ρ 0.
In terms of the POVM element, the error probability can be written as \({P}_{{\rm{err}}}={p}_{0}{\rm{tr}}[{\rho }_{0}\ {\Pi }_{1}]+{p}_{1}{\rm{tr}}[{\rho }_{1}\ {\Pi }_{0}]=\frac{1}{2}\{1-{\rm{tr}}[({p}_{0}\ {\rho }_{0}-{p}_{1}\ {\rho }_{1})({\Pi }_{0}-{\Pi }_{1})]\}\). By denoting Δ ≔ p 0 ρ 0 − p 1 ρ 1, we have eigenvalue decomposition \(\Delta ={\sum }_{i}{d}_{i}\left|i\right\rangle \left\langle i\right|\) for an orthonormal basis \(\{\left|i\right\rangle \}\). By the Helstrom theorem43, the optimal POVM is given by \({\Pi }_{0}={\sum }_{{d}_{i}\ge 0}\left|i\right\rangle \left\langle i\right|\), the projector onto the positive support of Δ, and \({\Pi }_{1}={\sum }_{{d}_{i}\,{<}\,0}\left|i\right\rangle \left\langle i\right|\), the projector onto the negative support of Δ. The minimum-error probability is
$${P}_{{\rm{err}}}\equiv \frac{1}{2}\left(1-\left\Vert {p}_{0}{\rho }_{0}-{p}_{1}{\rho }_{1}\right\Vert \right)\,,$$
(7)
where \(\left\Vert A\right\Vert \equiv \,\text{tr}\,\sqrt{{A}^{\dagger }A}\) denotes the trace norm of matrix A. For the minimum-error detection in the illumination problems, we should take \({\rho }_{0}={{\mathcal{E}}}_{0}({\rho }_{A})\), \({\rho }_{1}={{\mathcal{E}}}_{1}({\rho }_{A})\) for conventional illumination, and \({\rho }_{0}=({{\mathcal{E}}}_{0}\otimes {\mathcal{I}})({\rho }_{AB})\), \({\rho }_{1}=({{\mathcal{E}}}_{1}\otimes {\mathcal{I}})({\rho }_{AB})\) for quantum illumination. Moreover, the corresponding trace norms are labeled by \(\left\Vert {\Omega }_{c}({\rho }_{A})\right\Vert\) and \(\Vert {\Omega }_{q}({\rho }_{AB})\Vert\), respectively, where
$${\Omega }_{c}({\rho }_{A})\equiv {p}_{1}{{\mathcal{E}}}_{1}\left({\rho }_{A}\right)-{p}_{0}{{\mathcal{E}}}_{0}\left({\rho }_{A}\right),$$
(8a)
$${\Omega }_{q}({\rho }_{AB})\equiv {p}_{1}({{\mathcal{E}}}_{1}\otimes {\mathcal{I}})({\rho }_{AB})-{p}_{0}({{\mathcal{E}}}_{0}\otimes {\mathcal{I}})({\rho }_{AB}).$$
(8b)
In other words, the corresponding minimum errors are given by
$${P}_{{\rm{err}}}^{c}({\rho }_{A})\equiv \frac{1}{2}\left(1-\left\Vert {\Omega }_{c}\left({\rho }_{A}\right)\right\Vert \right),$$
(9a)
$${P}_{{\rm{err}}}^{q}({\rho }_{AB})\equiv \frac{1}{2}(1-\Vert {\Omega }_{q}({\rho }_{AB})\Vert).$$
(9b)
Then, to solve the illumination problem as a channel discrimination, we should minimize the error probability over all possible input states \({P}_{{\rm{err}},\diamondsuit}^{c}\equiv \mathop{\min }\limits_{{\rho }_{AB}}{P}_{{\rm{err}}}^{c}\) and \({P}_{{\rm{err}},\diamondsuit}^{q}\equiv \mathop{\min }\limits_{{\rho }_{AB}}{P}_{{\rm{err}}}^{q}\). They are given by
$${P}_{{\rm{err}},\diamondsuit}^{c}\equiv \frac{1}{2}(1-{\left\Vert {\Omega }_{c}\right\Vert }_{1}),$$
(10a)
$${P}_{{\rm{err}},\diamondsuit}^{q}\equiv \frac{1}{2}(1-{\Vert {\Omega }_{q}\Vert }_{1})\,,$$
(10b)
where \({\Vert {\Omega }_{c,q}(\rho )\Vert }_{1}\) denotes the induced trace norm \({\Vert {\Omega }_{c,q}\Vert }_{1}\equiv \mathop{\max }\nolimits_{\rho }\Vert {\Omega }_{c,q}(\rho )\Vert\). When the two subsystems of the quantum case are uncorrelated, i.e., ρ A B ≡ ρ A ⊗ ρ B , quantum illumination reduces to the conventional case. Therefore, the performance of the quantum illumination is at least as good as the conventional illumination, i.e., \({P}_{{\rm{err}},\diamondsuit}^{q}\,\le \,{P}_{{\rm{err}},\diamondsuit}^{c}\).
Main results: the phase diagram
Our major results contain a family of complete analytic solutions for both conventional and quantum illumination for any d-dimensional signal state and any given environmental state ρ E . For both illumination problems, the minimum-error probabilities are strongly dependent on the occurrence probabilities {p 0, p 1} and the reflectivity η of the target. In general, we can divide the parameter space into three distinct regions, namely (I, II, and III).
Region I: (i) p 0 <p 1, and (ii) η <η * ≡ 1 −p 0/p 1. For both conventional and quantum illumination, the minimal error is given by
$${P}_{{\rm{err}}}={p}_{0}.$$
(11)
Furthermore, the optimal strategy for both quantum and conventional illumination does not even require a measurement of the signals; one can simply guess "yes" (presence of the target) for all detection instances. As whenever p 0 <p 1, the error for this simple strategy is equal to p 0, i.e., P err =p 0. We summarize this result as follows (the proof is left in Supplementary Discussion 2):
Result 1 (Region I, for both conventional and quantum illumination). (a) The minimum errors for both conventional and quantum illumination are equal to p 0, i.e., P err =p 0, and (b) the bound can be achieved with any probe state (pure or mixed).
We can interpret this region as a regime where the reflected signal become useless, due to the low reflectivity of the object. Intuitively, if the object has high probability to be present, and the reflectivity is so small that the reflected signal cannot help us to rule out its presence, then we should always guess that the object is present. The boundary of this region is only determined by the properties of the object. In other words, it is irreverent to the environmental noise. The boundary for both conventional and quantum illumination coincides.
Region II: (i) p 0 >p 1, and (ii. a) for conventional illumination: \(\eta\, <\,{\eta }_{c}\equiv (\frac{{p}_{0}}{{p}_{1}}-1)(\frac{{\lambda }_{d}}{1-{\lambda }_{d}})\), or (ii. b) for quantum illumination: \(\eta\, <\,{\eta }_{q}\equiv (\frac{{p}_{0}}{{p}_{1}}-1)(\frac{{\lambda }_{h}}{1-{\lambda }_{h}})\). The minimal error is given by
$${P}_{{\rm{err}}}={p}_{1}\,,$$
(12)
for both conventional and quantum illumination. Moreover, both η c → 0 and η q → 0 vanish as λ d → 0, which implies that Region II vanishes for both conventional and quantum illumination. The same performance is achieved by guessing "no" (i.e., absence of the target) for all events. Here
$${\lambda }_{h}^{-1}\equiv \mathop{\sum }\limits_{i=1}^{d}{\lambda }_{i}^{-1}\,,$$
(13)
which is proportional to the harmonic mean of the eigenvalues {λ i }. For λ d > 0, λ h is always less than the smallest eigenvalue λ d of ρ E , i.e.,
$${\lambda }_{h}\,<\,{\lambda }_{d}\,,$$
(14)
(because \({\lambda }_{d}/{\lambda }_{h}={\lambda }_{d}(\mathop{\sum }\nolimits_{i = 1}^{d}1/{\lambda }_{i})\,>\,1\)). Therefore, Region II for the case of quantum illumination is always smaller than that of conventional illumination (see Fig. 1). To summarize (proof in Supplementary Discussion 2, 3), we have
Result 2 (Region II for conventional and quantum illumination). (a) The minimum error for conventional and quantum illumination is equal to p 1, i.e., P err =p 1, and (b) the bound can be achieved with any (pure or mixed) probe state.
Similar to Region I, we can interpret this region as a regime where the reflected signals become useless due to low reflectivity. When the object is more likely to be absent, and the reflected signal cannot rule out the absence of the object, we should guess that the object is absent. However, different from Region I, the boundary of Region II depends on the spectrum of the environmental noise. In particular, when there is at least one mode that is noiseless, i.e., λ d = 0, Region II vanishes for both the conventional and quantum illumination. But in general, the boundary for the conventional illumination is different from quantum illumination; the size of Region II with a useless signal for the quantum illumination is smaller, which is a signature for quantum advantage.
Region III (the region excluded by Regions I and II): For conventional illumination, the minimum error over all possible input states is given by
$${P}_{{\rm{err}},\diamondsuit}^{c}={p}_{0}+\gamma \left(1-{\lambda }_{d}\right)\,,$$
(15)
and for quantum illumination,
$${P}_{\,{\rm{err}}\,,\diamondsuit}^{q}={p}_{0}+\gamma \left(1-{\lambda }_{h}\right).$$
(16)
Here the parameter, γ ≡p 1(1 −η) −p 0, depends on the occurrence probabilities {p 0, p 1} of the target and the reflectivity η. In this region, γ < 0 is negative, and it is a decreasing function of η. This implies that both \({P}_{{\rm{err}},\diamondsuit}^{c}\) and \({P}_{{\rm{err}},\diamondsuit}^{q}\) decrease with the increase in the reflectivity η. Furthermore, the difference between the classical and quantum cases (i.e., quantum advantage) depends on the difference, λ d − λ h , which is
$${P}_{\,\text{err},\diamondsuit}^{c}-{P}_{\text{err}\,,\diamondsuit}^{q}=\left|\gamma \right|\left({\lambda }_{d}-{\lambda }_{h}\right)\ge 0.$$
(17)
When there is no noiseless mode, i.e., λ d ≠ 0, the performance of the quantum illumination is strictly better than the conventional illumination. Generally speaking, the quantum advantage is larger when the noise spectrum is more flat and close to the white noise. The optimal probe state is given in Results 3 and 4. However, when there is at least one noiseless mode, its performances are the same, and the quantum advantage vanishes, because in this case λ h =λ d = 0. Under this situation, the minimum error is P err,◇ =p 1(1 −η) for both protocols. This is because the signal sent can be orthogonal to the environmental noise, which implies that the signal state can be perfectly distinguishable from the noise. Thus, the error occurs only when the object is present and the signal is lost, corresponding to the probability p 1(1 −η). To summarize (proof in Supplementary Discussion 2and 3), we have
Result 3 (Region III for conventional illumination). The minimum error P err over all possible conventional input states is given by \({P}_{{\rm{err}}}^{c}={p}_{0}+\gamma \left(1-{\lambda }_{d}\right)\), which is obtained by choosing \(\left|\psi \right\rangle =\left|{\theta }_{d}\right\rangle\) to be the eigenvector of ρ E associated with the smallest eigenvalue.
The above result is intuitive; the optimal signal should fully occupy the mode with minimal noise. However, this strategy is not optimal if the ancillary system is allowed as shown by the following result. For quantum illumination, the optimal probe state is an entangled state between the signal sent and the idler ancillary system. Notably, the dimension of the ancillary system is the same as the signal state, and the entanglement spectrum is inversely proportional to the noise spectrum.
Result 4 Region III for quantum illumination. The minimum error P err over all possible conventional input states is given by \({P}_{{\rm{err}}}^{q}={p}_{0}+\gamma \left(1-{\lambda }_{h}\right)\), which can be reached with\({\rho }_{AB}=\left|{\psi }_{AB}\right\rangle \left\langle {\psi }_{AB}\right|\), where
$$\left|{\psi }_{AB}\right\rangle ={{\mathbb{I}}}_{A}\otimes {U}_{B}\mathop{\sum }\limits_{i=1}^{d}{\mu }_{i}\left|{\theta }_{i}\right\rangle \left|{\theta }_{i}\right\rangle$$
(18)
with \({\mu }_{i}=\sqrt{{\lambda }_{h}/{\lambda }_{i}}\) and U B to be any local unitary on the ancillary system B.
In Region III, the reflected signals become useful in the one-shot detection setting. When the reflectivity is larger than the critical value, the probe state becomes sufficiently discriminable to the environmental noise, resulting in an error probability smaller than the trivial strategy. In this region, the nonclassical correlation contained in the entangled probe state helps to increase the joint distinguishability between the reflected signal and the environmental noise with the help of the ancilla. Interestingly, the ideal probe state has an entanglement spectrum that is inversely proportional to the noise spectrum. This can be interpreted as a balance of the local distinguishability and the quantum correlation; the inverse proportionality results in a reduced state that is relatively more discriminable to the noise locally, while maintaining sufficient quantum correlation that increases the joint distinguishability. This also implies that the amount of entanglement of the optimal probe state increases with the entropy of the environment. In Fig. 2, we provide an example on the linear environment spectrum case, i.e., λ i =λ 1 + (i − 1)d λ.
To better understand the above result and the performance of quantum illumination Eq. (16) in Region III, we summarize the steps for deriving it.
Sketch of the proofs for quantum illumination
The main physical quantity to be investigated is \({\Vert {\Omega }_{q}({\rho }_{AB})\Vert }_{1}={\Vert {p}_{1}\eta {\rho }_{AB}+\gamma {\rho }_{E}\otimes {\rho }_{B}\Vert }_{1}\), where γ ≡p 1(1 −η) −p 0. The trace norm of this operator is the sum of the absolute values of its eigenvalues. Due to the convexity of the norms, the optimal input states must be pure (see Supplementary Discussion 1). Then for convenience, we can focus on the pure input states. Defining H q ≡ Ω q /γ, we have \({H}_{q}={\rho }_{E}\otimes {\rho }_{B}-\alpha \left|\psi \right\rangle \left\langle \psi \right|\) and
$${\left\Vert {\Omega }_{q}(\left|\psi \right\rangle \left\langle \psi \right|)\right\Vert }_{1}=| \gamma | \cdot {\left\Vert {H}_{q}(\left|\psi \right\rangle \left\langle \psi \right|)\right\Vert }_{1}\,,$$
(19)
where \(\left|\psi \right\rangle\) is any pure bipartite state and \(\alpha \equiv -\eta {p}_{1}/\gamma =\eta {p}_{1}/\left({p}_{0}-{p}_{1}\left(1-\eta \right)\right)\,>\,0\). Furthermore, we express the bipartite pure state in the following form: \(\left|\psi \right\rangle =\mathop{\sum }\nolimits_{i = 1}^{d}\left|{\theta }_{i}\right\rangle \left|{u}_{i}\right\rangle\), where the vectors \(\left|{u}_{i}\right\rangle\)'s are not assumed to be normalized. In general, they can be even nonorthogonal to one another. However, since the eigenvalues \(\left|{\theta }_{i}\right\rangle\)'s are orthonormal, the normalization condition implies that \(\left\langle \psi \right.\left|\psi \right\rangle =\mathop{\sum }\nolimits_{i = 1}^{d}\left\langle {u}_{i}\right.\left|{u}_{i}\right\rangle =1\).
Denoting the eigenvalues of H q (ψ) by E 1 ≥E 2 ≥. . . ≥E d , we can calculate its trace norm as \({\left\Vert {H}_{q}(\psi )\right\Vert }_{1}={\sum }_{i}| {E}_{i}|\). We can prove that there is at most one negative eigenvalue (Lemma 1 in Supplementary Discussion 2). Then we have
$${\left\Vert {H}_{q}(\psi )\right\Vert }_{1}=\mathop{\sum }\limits_{i=1}^{d-1}{E}_{i}+| {E}_{d}| =1-\alpha -{E}_{d}+| {E}_{d}|.$$
(20)
To minimize this trace norm, it is sufficient to bind the minimum eigenvalue, \({E}_{d}\equiv {\lambda }_{\min }({H}_{q})\) of the matrix H q . The corresponding eigenvector \(|{g}_{\psi }\rangle\), where \({H}_{q}|{g}_{\psi }\rangle ={E}_{d}|{g}_{\psi }\rangle\), can always be expanded by the the following vectors (in a way similar to \(|\psi \rangle\)), \(|{g}_{\psi }\rangle =\mathop{\sum }\nolimits_{i = 1}^{d}\|{\theta }_{i}\rangle |{v}_{i}\rangle\), where, again, the vectors \(\left|{v}_{i}\right\rangle\)'s can be neither normalized nor orthogonal to one another. By Lagrangian multiplier, we found that (see Supplementary Discussion 3) the eigenvalue is minimized when we choose \(|{u}_{i}\rangle =|{v}_{i}\rangle\) for all i's, which means that \(|{g}_{\psi }\rangle =|\psi \rangle\). Finally, we found that the minimum eigenvalue, E d =λ h −α, of H q can be achieved by choosing an input of the form
$$\left|\psi \right\rangle =\mathop{\sum }\limits_{i=1}^{d}{\mu }_{i}\left|{\theta }_{i}\right\rangle \left|{\theta }_{i}\right\rangle \,,\,\,\,{\mu }_{i}=\sqrt{{\lambda }_{h}/{\lambda }_{i}}.$$
(21)
Examples
Below, we provide three different examples to illustrate our results.
Example 1—when \({\lambda }_{\min }=0\). For the eigenstate \(\left|\psi \right\rangle\) of \({\Omega }_{c}(\left|\psi \right\rangle \left\langle \psi \right|)={p}_{1}\eta \left|\psi \right\rangle \left\langle \psi \right|+\gamma \ {\rho }_{E}\), i.e., \(\left\langle \psi \right|{\rho }_{E}\left|\psi \right\rangle =0\). The error probability is \({P}_{{\rm{err}}}=\frac{1}{2}[1-\left({p}_{1}\eta +\left|\gamma \right|\right)]\), which means that (i) when η ≤η * (or γ ≥ 0), then P err =p 0, and (ii) when η ≥η * (or γ ≤ 0), then \({P}_{{\rm{err}}}={p}_{1}\left(1-\eta \right)\), which vanishes as expected when η → 1.
Example 2—binary signals. Let us consider the case where the signals are two-dimensional, which means that ρ E is a 2 × 2 Hermitian matrix. In its diagonal basis (labeled as \(\left\{\left|0\right\rangle ,\left|1\right\rangle \right\}\)), we write \({\rho }_{E}=\left[\begin{array}{ll}{\lambda }_{0}&0\\ 0&{\lambda }_{1}\end{array}\right]\).
Since the trace norm is invariant under unitary transformation, we can always choose to have the pure state to be optimized as follows: \(\left|\psi \right\rangle ={\mu }_{0}\left|0\right\rangle +{\mu }_{1}\left|1\right\rangle\), where both parameters, μ 0 ≥ 0 and μ 1 ≥ 0, are positive, and \({\mu }_{0}^{2}+{\mu }_{1}^{2}=1\). Consequently, we have \({\Omega }_{c}=\left[\begin{array}{ll}a&c\\ c&b\end{array}\right]\), where \(a\equiv {p}_{1}\eta {\mu }_{0}^{2}+\gamma {\lambda }_{0}\), \(b\equiv {p}_{1}\eta {\mu }_{1}^{2}+\gamma {\lambda }_{1}\), and c ≡p 1 η μ 0 μ 1. The eigenvalues λ ± of Ω c are given by \({\lambda }_{\pm }=\frac{1}{2}\left[\,\text{tr}{\Omega }_{c}\pm \sqrt{\text{t}{\text{r}}^{2}{\Omega }_{c}-4\det \{{\Omega }_{c}\}}\right]\), where trace and determinant of Ω c are tr Ω c =a +b =p 1 η +γ =p 1 −p 0, \(\det \{{\Omega }_{c}\}=ab-{c}^{2}={\gamma }^{2}{\lambda }_{0}{\lambda }_{1}+{p}_{1}\eta \gamma \left({\lambda }_{0}{\mu}_{1}^{2}+{\lambda }_{1}{\mu }_{0}^{2}\right)\). The trace norm of Ω c is given by one of the following possibilities:
$$\left\Vert {\Omega }_{c}\right\Vert =\left\{\begin{array}{ll}\left|\,{\rm{tr}}\,\,{\Omega }_{c}\right| & \,{\rm{if}}\,{\rm{det}} \left\{{\Omega}_{\rm{c}}\right\}\ge 0,\\ \sqrt{{\rm{tr}}^{2}{\Omega }_{c}-4{\rm{det}} \left\{{\Omega}_{c}\right\}}&\,{\rm{if}}\, {\rm{det}} \left\{{\Omega}_{c}\right\}\,< \,0.\end{array}\right.$$
(22)
Note that \(\det {\Omega }_{c}\) is a product of the two eigenvalues; the condition of \(\det \{{\Omega }_{\text{c}}\}\,>\,0\) implies that either both eigenvalues are positive or both negative.
Example 3—completely-mixed environment. Suppose the returning signal from the noisy environment is completely mixed, i.e., ρ E =I/d, the corresponding matrix \({\Omega }_{c}(\left|\psi \right\rangle \left\langle \psi \right|)\), for any pure state \(\left|\psi \right\rangle\), can be diagonalized explicitly to give \(\left\Vert {\Omega }_{c}(\left|\psi \right\rangle \left\langle \psi \right|)\right\Vert =\left|{p}_{1}\eta +\frac{\gamma }{d}\right|+\frac{d-1}{d}\left|\gamma \right|\). In Region I, where \({p}_{0}\le \frac{1}{2}\) and η ≤η * ≡ 1 −p 0/p 1, we have γ ≡p 1(1 −η) −p 0 ≥ 0. As a result, \(\left\Vert {\Omega }_{c}\right\Vert =| {p}_{1}\eta +\gamma | =\left|{p}_{1}-{p}_{0}\right|\) and hence \({P}_{{\rm{err}}}^{c}={p}_{0}\). On the other hand, in Region II, \({p}_{0}>\frac{1}{2}\) (where γ < 0) and \(\eta <(\frac{{p}_{0}}{{p}_{1}}-1)\frac{1}{d-1}\) (where p 1 η +γ/d < 0), we have again \(\left\Vert {\Omega }_{c}\right\Vert =\left|{p}_{1}\eta +\gamma \right|=\left|{p}_{1}-{p}_{0}\right|\), but it gives \({P}_{{\rm{err}}}^{c}={p}_{1}\). In Region III, \(\left\Vert {\Omega }_{c}\right\Vert ={p}_{1}\eta +\left(2/d-1\right)\gamma\), which gives \({P}_{{\rm{err}}}^{c}={p}_{1}\left(1-\eta \right)-\gamma /d\). Similarly, for quantum illumination, we have \({P}_{{\rm{err}}}^{q}={p}_{0}\) for Region I, \({P}_{{\rm{err}}}^{q}={p}_{0}\) for Region II. For Region III, we have \(\Vert {\Omega }_{q}\Vert ={p}_{1}\eta +(2/{d}^{2}-1)\gamma\), which gives \({P}_{{\rm{err}}}^{q}={p}_{1}\left(1-\eta \right)-\gamma /{d}^{2}\).
In Fig. 3, we demonstrate the advantage of quantum illumination over the conventional illumination under different dimensions and parameters p 0 and η.
a Color plot of the difference of minimal error \({P}_{{\rm{err}}}^{c}-{P}_{{\rm{err}}}^{q}\) as a function of the occurrence probability p 0 and reflectivity η for two-dimensional signals d = 2. b The same plot for d = 10. c–f Explicit dependence of \({P}_{{\rm{err}}}^{c}\) and \({P}_{{\rm{err}}}^{q}\) as a function of η. Solid lines represent quantum illumination, and dash lines represent conventional illumination.
Complementary results
If for all the events, we simply guess "yes" (i.e., the presence of the target) whenever p 0 <p 1 and "no" (i.e., absent) whenever p 0 >p 1. Then, the error for guessing wrong is given by the minimum of the probabilities p 0 or p 1, i.e., \(\min \left\{{p}_{0},{p}_{1}\right\}\). For example, the instance shown below shows that the number of wrong decisions (i.e., "yes" when the object is absent "0") is equal to the number of absent events "0".
This argument can be justified more formally for both classical and quantum illuminations with the following, where the proof is given in Supplementary Discussion 4.
Result 5 (upper bound of minimal error). The error probability P err is bounded above by either p 0 or p 1, i.e., \({P}_{{\rm{err}}}\le \frac{1}{2}\left(1-\left|{p}_{0}-{p}_{1}\right|\right)=\min \left\{{p}_{0},{p}_{1}\right\}\).
This error bound is relevant to the cases where the reflectivity η is zero, i.e., ρ 0 =ρ 1 for both conventional and quantum illumination, which gives \({P}_{{\rm{err}}}=\frac{1}{2}\left(1-| {p}_{0}-{p}_{1}| \right)\). In other words, when there is no signal related to the absence/presence of the target, the best strategy one can make to minimize the error of discrimination is exactly the strategy mentioned above.
Another interesting question is how the reflectivity η affects the error bound. Intuitively, we would believe that the higher the value of η, the smaller the error bound. This intuition can be justified by the following theorem (proof in Supplementary Discussion 4):
Result 6 (monotonicity of minimal error). For a given reflectivity η, and density matrix ρ as probe state, the minimal error is given by \({P}_{{\rm{err}}}\left({\rm{\eta }}\right)=\frac{1}{2}\left(1-\left\Vert {p}_{1}{\rho }_{1}\left(\eta \right)-{p}_{0}{\rho }_{0}\right\Vert \right)\), where \({\rho }_{1}\left(\eta \right)=\eta \rho +\left(1-\eta \right){\rho }_{0}\). The minimal error is a nonincreasing function of the reflectivity, i.e., if \(\eta \ge \eta ^{\prime}\), then\({P}_{{\rm{err}}}\left(\eta \right)\le {P}_{{\rm{err}}}\left(\eta ^{\prime} \right)\).
Discussion
In this work, we presented complete solutions to the problem of one-shot minimum-error discrimination for both conventional and quantum illumination. The analysis is divided into three regions. Region I is the same for both conventional and quantum illumination; the minimal error is a constant and does not depend on the reflectivity of the target, with the optimal strategy being a simple guess. Region II is similar and the reflected signal is useless, but quantum illumination shrinks the boundary of Region II. For Region III, quantum illumination can yield a lower minimal error than conventional illumination.
Mathematically, this quantum advantage originates from the difference between the induced trace norm44 and the diamond norm45, which can be directly observed from the definitions. Defining \(\Omega \equiv {p}_{1}{{\mathcal{E}}}_{1}-{p}_{0}{{\mathcal{E}}}_{0}\), then \({\left\Vert {\Omega }_{c}\right\Vert }_{1}\) is the induced trace norm of Ω, and \({\Vert {\Omega }_{q}\Vert }_{\diamondsuit}\) is the diamond norm of Ω. The quantum advantage, in terms of the difference in detection error probability, is just the difference between them.
Physically, the performance of the quantum illumination is determined by two competing factors: the quantum correlation in the probe state, and the local distinguishability of the probe state and the noise. When the environment is of infinite temperature, the optimal probe state is the maximally entangled state whose reduced state is completely mixed. This implies that the nonclassical correlation dominates the performance. However, when the environment is of zero temperature (a pure state), the optimal probe state is unentangled and orthogonal to the noise state. This implies that the local distinguishability dominates the performance. When the environment is of finite temperature, the ideal probe state is at a subtle balance between these two competing factors. As a result, no measure of quantum correlation can fully characterize the quantum advantage when the environment noise is not white. This is because the non-white noise is no longer isotropic and it breaks the local unitary invariance (see "Methods"), which is a necessary symmetry for any measure of quantum correlation46. Although the discord of encoding42, as a measure of quantum correlation, can characterize the quantum advantage under white noise, it cannot be applied to other noise states.
We also extend our discussion to the multishot detection case. Our numerical result shows that the optimal bipartite probe state (Eq. (21) for Region III) for one-shot detection also has the minimum asymmetry error for multishot detection. This result implies that the optimal probe state we obtained may play a more important role beyond the one-shot detection case, which can be an interesting topic in the future. Moreover, the discussion about the optimum illumination strategy may also be extended to the scenario when the interaction between the environment and the probe state is more complete than direct substitution.
Methods
No measure of quantum correlation can fully characterize the quantum advantage
We claim that the quantum advantage cannot be solely captured by quantum correlation, when the environmental noise is not a maximally mixed state, i.e., \({\rho }_{E}\,\ne \,{\mathbb{I}}/d\).
To justify our claim, we first set up a framework in describing the quantum advantage, with the assumption that the environmental noise is not white noise. The presence and absence of the object are denoted by a binary random variable X, where X = 1 means the object is present, and X = 0 means the object is absent. This random variable is encoded in two quantum ensembles, \({\epsilon }_{Q}:= \{{p}_{x},{\rho }_{Q}^{x}\}\) and \({\epsilon }_{C}:= \{{p}_{x},{\rho }_{C}^{x}\}\), with p 0 where the probability of the random variable is 0, p 1 where the probability of the random variable is 1, \({\rho }_{C}^{0}={\rho }_{E}\), \({\rho }_{C}^{1}=\eta \ {\rho }_{A}+(1-\eta ){\rho }_{E}\), \({\rho }_{Q}^{0}={\rho }_{E}\otimes {\rho }_{B}\), \({\rho }_{Q}^{1}=\eta \ {\rho }_{AB}+(1-\eta ){\rho }_{E}\otimes {\rho }_{B}\). The agent performs the optimal POVM on the ensemble and gets the best estimate X est, which maximizes the mutual information I(X, X est) ≔ H(X) −H(X ∣ X est). We define I C as the maximum mutual information obtained for conventional illumination with ensemble ϵ C and similarly I Q for quantum illumination. Then, the quantum advantage is characterized by the difference ΔI ≔ I Q −I C . By fixing ρ A as the optimal probe state for conventional illumination, the quantum advantage ΔI is a function of the entangled probe state ρ A B .
Then, we prove that ΔI(ρ A B ) cannot be explained by only the quantum correlation in the optimal quantum probe state ρ A B . This is because of the advantage that ΔI has different symmetries from any quantum correlation measure. For any measure \({\mathcal{Q}}\) of quantum correlation, \({\mathcal{Q}}({\rho }_{AB})\) must satisfy local unitary invariance, i.e., \({\mathcal{Q}}({\rho }_{AB})={\mathcal{Q}}({U}_{A}\otimes {U}_{B}{\rho }_{AB}{U}_{A}^{\dagger }\otimes {U}_{B}^{\dagger })\) for any unitary U A acting on system A and unitary U B acting on system B. This local unitary invariance is a necessary requirement for any lawful quantum-correlation measure46.
However, this invariance symmetry is broken for ΔI(ρ A B ) when the environmental noise \({\rho }_{E}\,\ne \,{\mathbb{I}}/d\). In other words, \(\Delta I({\rho }_{AB})\,\ne \,\Delta I({U}_{A}\otimes {U}_{B}\ {\rho }_{AB}\ {U}_{A}^{\dagger }\otimes {U}_{B}^{\dagger })\), unless \({U}_{A}\,=\,{{\mathbb{I}}}_{A}\). To see this, recall that we have found the optimal signal state \({\rho }_{AB}=\left|\psi \right\rangle \left\langle \psi \right|\) in the main text, where \(\left|\psi \right\rangle =\mathop{\sum }\nolimits_{i = 1}^{d}{\mu }_{i}\left|{\theta }_{i}\right\rangle \left|{\theta }_{i}\right\rangle\) and \({\mu }_{i}=\sqrt{{\lambda }_{h}/{\lambda }_{i}}\). When \({\rho }_{E}\,\ne \,{\mathbb{I}}/d\), the ability to discriminate \({\rho }_{Q}^{0}\) from \({\rho }_{Q}^{1}\) is decreased if a local unitary is applied to system A, since \(\left|\psi \right\rangle\) has been proved to be the unique (up to local unitary on system B) optimal signal state in Result 4 of Supplementary Discussion 3.
When the environmental noise is white noise, i.e., \({\rho }_{E}={\mathbb{I}}/d\), the optimal probe state is the maximally entangled state \(\left|\psi \right\rangle =1/\sqrt{d}{\sum }_{i}\left|{\theta }_{i}\right\rangle \left|{\theta }_{i}\right\rangle\). In this case, ρ E is unitary invariant. This implies that we have \(\Delta I({\rho }_{AB})=\Delta I({U}_{A}\otimes {U}_{B}\ {\rho }_{AB}\ {U}_{A}^{\dagger }\otimes {U}_{B}^{\dagger })\) for any local unitary U A and U B , and therefore ΔI(ρ A B ) is the local unitary invariant. So, in principle, this quantum advantage with white noise can be explained by quantum correlation. Indeed, it is proved42 that the quantum advantage ΔI equals to the discord of encoding, which is a quantum-correlation measure.
Therefore, we conclude that no measure of correlation can fully characterize the quantum advantage in the performance of quantum illumination, unless the environmental noise is white noise, i.e., \({\rho }_{E}={\mathbb{I}}/d\). The discord of encoding, although can be used to explain the quantum advantage with white noise, cannot fully characterize the quantum advantage (see Supplementary Discussion 5 for a specific counterexample).
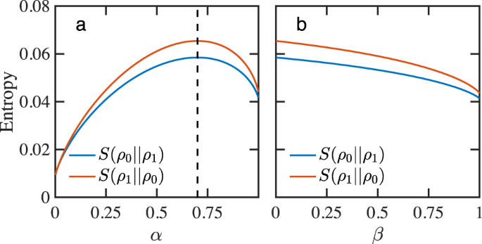
Multiple-shot detection and quantum relative entropy
Here, we provide numerical evidence for the optimality of the probe state in Eq. (21) that holds for a special class of multiple-shot quantum illumination. The discussion is restricted to the following scenario: given probe state ρ A B , the task of n-shot detection is to distinguish between \({\rho }_{0}^{\otimes n}\)(absent) and \({\rho }_{1}^{\otimes n}\)(present). We aim at minimizing two kinds of asymmetric error: Type-I error occurs when declaring the target present while it is not, and Type-II error occurs when declaring the target absent while it is not. According to Quantum Stein's Lemma47, when Type-I error cannot exceed a fixed value δ I ∈ (0, 1), the optimal type-II error takes the exponential form (for large enough N) \({\epsilon }_{{\rm{II}}}=\exp \left[-NS({\rho }_{1}| | {\rho }_{0})\right]\). Similarly, when Type-II error is restricted to below δ II ∈ (0, 1), the optimal type-I error is given by \({\epsilon }_{{\rm{I}}}=\exp \left[-NS({\rho }_{0}| | {\rho }_{1})\right]\). So both Type-I and Type-II errors are determined by the quantum relative entropy S(ρ 1 ∣ ∣ ρ 0) and S(ρ 0 ∣ ∣ ρ 1)22,48.
We simply restrict all systems to be two-level. The environment can be described by
$${\rho }_{E}={\lambda }_{1}\left|1\right\rangle \left\langle 1\right|+(1-{\lambda }_{1})\left|2\right\rangle \left\langle 2\right|,$$
(23)
and the probe states \({\rho }_{AB}=\left|{\psi }_{AB}\right\rangle \left\langle {\psi }_{AB}\right|\) are assumed to be pure. Remarkably, numerical results show that both S(ρ 0 ∣ ∣ ρ 1) and S(ρ 1 ∣ ∣ ρ 0) reach their maximum when \(\left|{\psi }_{AB}\right\rangle\) takes the form of Eq. (21), i.e., \(\left|{\psi }_{AB}\right\rangle =\sqrt{1-{\lambda }_{1}}{\left|1\right\rangle }_{A}{\left|1\right\rangle }_{B}+\sqrt{{\lambda }_{1}}{\left|2\right\rangle }_{A}{\left|2\right\rangle }_{B}\). As an example, in Fig. 4, we show the case when λ 1 = 0.3, and \(\left|{\psi }_{AB}\right\rangle\) are parameterized as
$$\left|{\psi }_{AB}\right\rangle =\sqrt{\alpha }\left|1\right\rangle \left|1\right\rangle +\sqrt{1-\alpha }\left|2\right\rangle \left(\sqrt{\beta }\left|1\right\rangle +\sqrt{1-\beta }\left|2\right\rangle \right),$$
(24)
The maximum of the entropies is taken when α = 0.7, β = 0, which coincides with Eq. (21). Note that we have only considered a special case where the detection signal remains the same for each run, and there is no correlation and adaptation for different shots. The optimal probe state and strategy for genuine multiple-shot detection with adaptive operations are still an open question, which requires further studies. Moreover, one may also study the multishot cases based on other quantities, such as the mutual information42 or conditional max entropy49.
We set λ 1 = 0.3. a S(ρ 0 ∣ ∣ ρ 1) and S(ρ 1 ∣ ∣ ρ 0) versus α. We set β = 0. The black dash line corresponds to α = 0.7. b S(ρ 0 ∣ ∣ ρ 1) and S(ρ 1 ∣ ∣ ρ 0) versus β. We set α = 0.7.
Data availability
The data generated during this study are available from the corresponding author upon reasonable request.
References
-
Horodecki, R., Horodecki, P., Horodecki, M. & Horodecki, K. Quantum entanglement. Rev. Mod. Phys. 81, 865 (2009).
-
Kitaev, A. Y., Shen, A., Vyalyi, M. N. & Vyalyi, M. N. Classical and Quantum Computation, Vol. 47 (American Mathematical Soc., 2002).
-
Buluta, I. & Nori, F. Quantum simulators. Science 326, 108–111 (2009).
-
Yung, M.-H., Whitfield, J. D., Boixo, S., Tempel, D. G. & Aspuru-Guzik, A. Introduction to quantum algorithms for physics and chemistry. Quantum Inf. Comput. Chem. 154, 67–106 (2014).
-
Bennett, C. H. et al. Teleporting an unknown quantum state via dual classical and einstein-podolsky-rosen channels. Phys. Rev. Lett. 70, 1895 (1993).
-
Giovannetti, V., Lloyd, S. & Maccone, L. Quantum metrology. Phys. Rev. Lett. 96, 010401 (2006).
-
Lloyd, S. Enhanced sensitivity of photodetection via quantum illumination. Science 321, 1463–1465 (2008).
-
Tan, S.-H. et al. Quantum illumination with Gaussian states. Phys. Rev. Lett. 101, 253601 (2008).
-
Shapiro, J. H. Defeating passive eavesdropping with quantum illumination. Phys. Rev. A 80, 22320 (2009).
-
Guha, S. Receiver design to harness quantum illumination advantage. In 2009 IEEE Int. Symp. Inf. Theory. 963–967 (IEEE, 2009).
-
Lopaeva, E. D. et al. Experimental realization of quantum illumination. Phys. Rev. Lett. 110, 153603 (2013).
-
Barzanjeh, S. et al. Microwave quantum illumination. Phys. Rev. Lett. 114, 80503 (2015).
-
Zhang, S., Zou, X., Shi, J., Guo, J. & Guo, G. Quantum illumination in the presence of photon loss. Phys. Rev. A 90, 052308 (2014).
-
Zhang, S. et al. Quantum illumination with photon-subtracted continuous-variable entanglement. Phys. Rev. A 89, 62309 (2014).
-
Bradshaw, M. et al. Overarching framework between Gaussian quantum discord and Gaussian quantum illumination. Phys. Rev. A 95, 022333 (2017).
-
Sanz, M., Las Heras, U., García-Ripoll, J. J., Solano, E. & Di Candia, R. Quantum estimation methods for quantum illumination. Phys. Rev. Lett. 118, 070803 (2017).
-
Lanzagorta, M., Uhlmann, J., Le, T., Jitrik, O. & Venegas-Andraca, S. E. Improving quantum sensing efficiency with virtual modes. In K. I. Ranney & A. Doerry (eds), Radar Sensor Technology XX, Vol. 9829 (International Society for Optics and Photonics, 2016).
-
Liu, K., Zhang, Q.-W., Gu, Y.-J. & Li, Q.-L. Discrete-variable quantum illumination with ancillary degrees of freedom. Phys. Rev. A 95, 042317 (2017).
-
Zhuang, Q., Zhang, Z. & Shapiro, J. H. Optimum mixed-state discrimination for noisy entanglement-enhanced sensing. Phys. Rev. Lett. 118, 40801 (2017).
-
Zhuang, Q., Zhang, Z. & Shapiro, J. H. Entanglement-enhanced Neyman-Pearson target detection using quantum illumination. J. Opt. Soc. Am. B 34, 1567 (2017).
-
Las Heras, U. et al. Quantum illumination reveals phase-shift inducing cloaking. Sci. Rep. 7, 9333 (2017).
-
Wilde, M. M., Tomamichel, M., Lloyd, S. & Berta, M. Gaussian hypothesis testing and quantum illumination. Phys. Rev. Lett. 119, 120501 (2017).
-
De Palma, G. & Borregaard, J. Minimum error probability of quantum illumination. Phys. Rev. A 98, 012101 (2018).
-
Fan, L. & Zubairy, M. S. Quantum illumination using non-gaussian states generated by photon subtraction and photon addition. Phys. Rev. A 98, 012319 (2018).
-
Pirandola, S., Bardhan, B. R., Gehring, T., Weedbrook, C. & Lloyd, S. Advances in photonic quantum sensing. Nat. Photonics 12, 724–733 (2018).
-
Chang, C. S., Vadiraj, A., Bourassa, J., Balaji, B. & Wilson, C. Quantum-enhanced noise radar. Appl. Phys. Lett. 114, 112601 (2019).
-
Gregory, T., Moreau, P.-A., Toninelli, E. & Padgett, M. J. Imaging through noise with quantum illumination. Sci. Adv. 6, eaay2652 (2020).
-
Barzanjeh, S., Pirandola, S., Vitali, D. & Fink, J. Experimental microwave quantum illumination. Sci. Adv. 6, eabb0451 (2020).
-
Ruskai, M. B. Qubit entanglement breaking channels. Rev. Math. Phys. 15, 643–662 (2003).
-
Xu, W., Shapiro, J. H., Ralph, T. & Lam, P. K. Defeating active eavesdropping with quantum illumination. In T. Ralph & P. K. Lam (eds), AIP Conference Proceedings, Vol. 1363, 31–34 (American Institute of Physics, 2011).
-
Zhang, Z., Tengner, M., Zhong, T., Wong, F. N. C. & Shapiro, J. H. Entanglement's benefit survives an entanglement-breaking channel. Phys. Rev. Lett. 111, 10501 (2013).
-
Ralph, T. & Lam, P. Don't cry over broken entanglement. Physics. 6, 74 (2013).
-
Shapiro, J. H., Zhang, Z. & Wong, F. N. C. Secure communication via quantum illumination. Quantum Inf. Process. 13, 2171–2193 (2014).
-
Zhang, Z., Mouradian, S., Wong, F. N. C. & Shapiro, J. H. Entanglement-enhanced sensing in a lossy and noisy environment. Phys. Rev. Lett. 114, 110506 (2015).
-
Harrow, A. W., Hassidim, A., Leung, D. W. & Watrous, J. Adaptive versus nonadaptive strategies for quantum channel discrimination. Phys. Rev. A 81, 032339 (2010).
-
Sacchi, M. F. Entanglement can enhance the distinguishability of entanglement-breaking channels. Phys. Rev. A 72, 014305 (2005).
-
Piani, M. & Watrous, J. All entangled states are useful for channel discrimination. Phys. Rev. Lett. 102, 250501 (2009).
-
Bae, J., Chruściński, D. & Piani, M. More entanglement implies higher performance in channel discrimination tasks. Phys. Rev. Lett. 122, 140404 (2019).
-
Rosgen, B. & Watrous, J. On the hardness of distinguishing mixed-state quantum computations. In 20th Annual IEEE Conference Computational Complexity, 344–354 (IEEE, 2005).
-
Jain, R., Ji, Z., Upadhyay, S. & Watrous, J. QIP = PSPACE. Commun. ACM 53, 102 (2010).
-
Modi, K., Brodutch, A., Cable, H., Paterek, T. & Vedral, V. The classical-quantum boundary for correlations: discord and related measures. Rev. Mod. Phys. 84, 1655 (2012).
-
Weedbrook, C., Pirandola, S., Thompson, J., Vedral, V. & Gu, M. How discord underlies the noise resilience of quantum illumination. New J. Phys. 18, 43027 (2016).
-
Helstrom, C. W. Quantum detection and estimation theory. J. Stat. Phys. 1, 231–252 (1969).
-
Watrous, J. Simpler semidefinite programs for completely bounded norms. Chicago J. Theor. Comp. Sci. 8, 11–14 (2013).
-
Christandl, M., König, R. & Renner, R. Postselection technique for quantum channels with applications to quantum cryptography. Phys. Rev. Lett. 102, 020504 (2009).
-
Adesso, G., Bromley, T. R. & Cianciaruso, M. Measures and applications of quantum correlations. J. Phys. A 49, 473001 (2016).
-
Hiai, F. & Petz, D. The proper formula for relative entropy and its asymptotics in quantum probability. Commun. Math. Phys. 143, 99–114 (1991).
-
Vedral, V. The role of relative entropy in quantum information theory. Rev. Mod. Phys. 74, 197–234 (2002).
-
Konig, R., Renner, R. & Schaffner, C. The operational meaning of min-and max-entropy. IEEE Trans. Inf. Theory 55, 4337–4347 (2009).
Acknowledgements
The authors thank Cheng Guo and Mile Gu for useful discussions. This work is supported by the Natural Science Foundation of Guangdong Province (Grant No. 2017B030308003), the Key R&D Program of Guangdong Province (Grant No. 2018B030326001), the Science, Technology and Innovation Commission of Shenzhen Municipality (Grant Nos. JCYJ20170412152620376, JCYJ20170817105046702, and KYTDPT20181011104202253), National Natural Science Foundation of China (Grant No. 11875160 and No. U1801661), the Economy, Trade and Information Commission of Shenzhen Municipality (Grant No. 201901161512), and Guangdong Provincial Key Laboratory (Grant No. 2019B121203002).
Author information
Authors and Affiliations
Contributions
M.-H.Y. and M.-J.Z. conceived the project. M.-H.Y., F.M., and M.-J.Z. contributed to the theoretical analysis. All authors contributed to the numerical results and the writing of the paper.
Corresponding authors
Ethics declarations
Competing interests
The authors declare no competing interests.
Additional information
Publisher's note Springer Nature remains neutral with regard to jurisdictional claims in published maps and institutional affiliations.
Supplementary information
Rights and permissions
Open Access This article is licensed under a Creative Commons Attribution 4.0 International License, which permits use, sharing, adaptation, distribution and reproduction in any medium or format, as long as you give appropriate credit to the original author(s) and the source, provide a link to the Creative Commons license, and indicate if changes were made. The images or other third party material in this article are included in the article's Creative Commons license, unless indicated otherwise in a credit line to the material. If material is not included in the article's Creative Commons license and your intended use is not permitted by statutory regulation or exceeds the permitted use, you will need to obtain permission directly from the copyright holder. To view a copy of this license, visit http://creativecommons.org/licenses/by/4.0/.
Reprints and Permissions
About this article
Cite this article
Yung, MH., Meng, F., Zhang, XM. et al. One-shot detection limits of quantum illumination with discrete signals. npj Quantum Inf 6, 75 (2020). https://doi.org/10.1038/s41534-020-00303-z
-
Received:
-
Accepted:
-
Published:
-
DOI : https://doi.org/10.1038/s41534-020-00303-z
Source: https://www.nature.com/articles/s41534-020-00303-z
0 Response to "Quantum Illumination With Photonsubtracted Continuousvariable Entanglement"
Post a Comment